Polimyksyna B
| ||
| Identyfikacja | ||
| Inne nazwy i oznaczenia |
Polymyxini B sulfas, Polymyxinum B | |
|---|---|---|
| numer CAS | ||
| DrugBank | ||
| Klasyfikacja medyczna | ||
| ATC | ||
| Farmakokinetyka | ||
| Działanie |
bakteriobójcze | |
| Wydalanie | ||
| Uwagi terapeutyczne | ||
| Drogi podawania |
dożylnie, domięśniowo, doustnie, na skórę i do oczu | |
Polimyksyna B – antybiotyk z grupy polimyksyn, mieszanina peptydów wytwarzanych podczas wzrostu przez Bacillus polymyxa[1] o strukturze łańcuchowo-pierścieniowej.
Mechanizm działania
Ze względu na budowę amfifilową, polimyksyny mogą łatwo przenikać do komórek bakteryjnych i integrować się z fosfolipidami w błonie komórkowej, co zaburza ich strukturę. Polimyksyna B działa więc jak związki powierzchniowo czynne (detergenty), co prowadzi do zwiększenia przepuszczalności bakteryjnej błony komórkowej i w konsekwencji do zniszczenia komórki.
Budowa i właściwości cząsteczki[2]
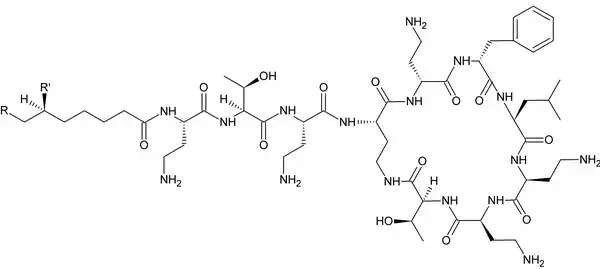
Polimyksyna B jest antybiotykiem, który w swojej budowie oprócz aminokwasów (treoniny, fenyloalaniny i leucyny) zawiera także dodatkowe składniki – kwas α,γ–diaminomasłowy i pochodną kwasu L(+)-6-metylooktanowego. Związki takie nazywane są także peptolidami. Wszystkie peptydy z grupy polimyksyn, z uwagi na swoją budowę, mają charakter zasadowy. Skutkuje to dobrą rozpuszczalnością w wodzie i tworzeniem z kwasami krystalicznych soli, które ułatwiają ich wyodrębnianie i oczyszczanie. W lecznictwie polimyksyna B jest stosowana w postaci siarczanu. Zarówno polimyksyna B jak i kolistyna, zwana także polimyksyną E1 posiadają strukturę łańcuchowo–pierścieniową. Grupa aminowa łańcucha bocznego blokowana jest pochodną kwasu 6-metylooktanowego. Toksyczność polimyksyn jest znaczna, wykazują m.in. działanie neurotoksyczne i nefrotoksyczne. Z tego powodu stosuje się ją głównie miejscowo w postaci maści lub kropli do oczu. Nie wchłania się z przewodu pokarmowego i po doustnym przyjęciu działa tylko miejscowo[3]. Poniżej przedstawiono wzory strukturalne trzech głównych polimyksyn B:[1]

| Polimyksyna | R | R′ | Wzór sumaryczny | Masa cząsteczkowa |
|---|---|---|---|---|
| B1 | CH3 | CH3 | C56H98N16O13 | 1204 |
| B2 | H | CH3 | C55H96N16O13 | 1190 |
| B3 | CH3 | H | C55H96N16O13 | 1190 |
Zakres działania
Jest podobny do działania kolistyny. Nie działa na bakterie Gram-dodatnie, ponieważ te mają za grubą ścianę komórkową, która uniemożliwia penetrację polimyksyn. Zakres działania jest wąski – przede wszystkim na bakterie Gram–ujemne, szczególnie na:
- Pseudomonas aeruginosa;
- Enterobacter aerogenes;
- Escherichia coli;
- Haemophilus influenzae;
- Salmonella i Shigella.
Nie działa lub działa słabo w dużych stężeniach na Proteus vulgaris i Brucella abortus.
Wskazania do stosowania[3]

Polimyksyna B stosowana jest doustnie w zakażeniach przewodu pokarmowego wywołanych na oporne na inne antybiotyki szczepy Escherichia coli oraz pałeczki Salmonella i Shigella. Pozajelitowo są stosowane w ciężkich zakażeniach układu moczowego wywołanych przez bakterie Gram (–), zwłaszcza Pseudomonas aeruginosa, oporne na inne antybiotyki (aminoglikozydowe, β–laktamowe). Jest też stosowana miejscowo na skórę, do oczu i uszu w zakażeniach bakteryjnych wywołanych przez szczepy wrażliwe na ten antybiotyk. Substancja ta rzadko jest podawana domięśniowo, ponieważ wstrzyknięcia są bardzo bolesne.
Przeciwwskazania
- niewydolność nerek nawet niewielkiego stopnia (przy podaniu dożylnym);
- nadwrażliwość na polimyskyny B;
- choroby wirusowe.
Przy stosowaniu w okulistyce dodatkowo:
- grzybicze zapalenie spojówek;
- jaskra pierwotna;
- gruźlica oka.
Środki ostrożności
- Długotrwałe stosowanie preparatów zawierających polimyksyny B może doprowadzić do nadkażeń bakteryjnych i grzybiczych – nie stosować dłużej niż 7 dni.
- Preparatu stosowanego do uszu nie należy podawać przy perforacji błony bębenkowej.
- U dzieci polimyksyny można stosować tylko w przypadku bezwzględnej konieczności.
- Stosowanie preparatu w ciąży jest dopuszczalne jedynie w sytuacji, gdy jest to bezwzględnie konieczne, a zastosowanie bezpieczniejszego leku jest niemożliwe lub przeciwwskazane.
Interakcje
Nie stwierdzono interakcji przy stosowaniu miejscowym. W grupie polimyksyn występuje oporność krzyżowa.
Działania niepożądane
Po podaniu pozajelitowym często może wystąpić działanie neurotoksyczne i nefrotoksyczne.
Dawkowanie[1]
| Droga podania | Zalecana dawka jednorazowa (j.m.) |
Zalecana dawka dobowa (j.m.) |
Maksymalna dawka jednorazowa (j.m.) |
Maksymalna dawka dobowa (j.m.) |
|---|---|---|---|---|
| domięśniowo | 500 000 | 2 000 000 | – | – |
| dożylnie | 875 000 | 1 750 000 | – | 2 000 000 |
Preparaty
Dostępne w Polsce preparaty złożone[4]:
- Atecortin – polimyksyna B + oksytetracyklina + hydrokortyzon (krople do oczu i uszu);
- Dexadent – polimyksyna B + deksametazon + framycetyna (maść);
- Maxibiotic – polimyksyna B + neomycyna + bacytracyna (maść);
- Maxitrol – polimyksyna B + deksametazon + neomycyna (krople lub maść do oczu);
- Multibiotic – polimyksyna B + neomycyna + bacytracyna (maść);
- Pulpomixine – polimyksyna B + deksametazon + framycetyna (pasta dentystyczna);
- Tribiotic – polimyksyna B + neomycyna + bacytracyna (maść).
Przypisy
- 1 2 3 Farmakopea Polska VIII, Polskie Towarzystwo Farmaceutyczne, Warszawa: Urząd Rejestracji Produktów Leczniczych, Wyrobów Medycznych i Produktów Biobójczych, 2008, s. 3491, ISBN 978-83-88157-53-0.
- ↑ A. Zejc, M. Gorczyca: Chemia leków. Warszawa: Wydawnictwo Lekarskie PZWL, 2004, s. 799. ISBN 83-200-2971-6.
- 1 2 Wojciech Kostowski, Zbigniew S. Herman: Farmakologia – podstawy farmakoterapii: podręcznik dla studentów medycyny i lekarzy. Wyd. 3 poprawione i uzupełnione. Warszawa: Wydawnictwo Lekarskie PZWL, 2006, s. 1569. ISBN 83-200-3352-7.
- ↑ Obwieszczenie Prezesa Urzędu Rejestracji Produktów Leczniczych, Wyrobów Medycznych i Produktów Biobójczych z dnia 31 marca 2011 r. w sprawie ogłoszenia Urzędowego Wykazu Produktów Leczniczych Dopuszczonych do Obrotu na terytorium Rzeczypospolitej Polskiej. [dostęp 2012-01-09]. (pol.).
Bibliografia
- Danuta Dzierżanowska: Antybiotykoterapia praktyczna. Wyd. V. α-medica press, 2009, s. 161-162. ISBN 978-83-7522-048-3.
- Wojciech Kostowski i Zbigniew S. Herman: Farmakologia. Wyd. III. T. 2. Wydawnictwo Lekarskie PZWL, 2010, s. 341-342. ISBN 978-83-200-4164-4.
- Pharmindex: kompendium leków. Warszawa: CMP Medica Poland, 2012, s. 1295. ISBN 978-83-62078-04-2.
- Atecortin (krople do oczu i uszu, zawiesina) – Charakterystyka produktu leczniczego. [dostęp 2012-01-09]. (pol.).
Przeczytaj ostrzeżenie dotyczące informacji medycznych i pokrewnych zamieszczonych w Wikipedii.
