Heparyna
| |||||||||||||||||||||||||||||
| |||||||||||||||||||||||||||||
| Ogólne informacje | |||||||||||||||||||||||||||||
| Masa molowa |
3000–30 000 g/mol | ||||||||||||||||||||||||||||
|---|---|---|---|---|---|---|---|---|---|---|---|---|---|---|---|---|---|---|---|---|---|---|---|---|---|---|---|---|---|
| Identyfikacja | |||||||||||||||||||||||||||||
| Numer CAS | |||||||||||||||||||||||||||||
| PubChem | |||||||||||||||||||||||||||||
| DrugBank | |||||||||||||||||||||||||||||
| |||||||||||||||||||||||||||||
| |||||||||||||||||||||||||||||
| Jeżeli nie podano inaczej, dane dotyczą stanu standardowego (25 °C, 1000 hPa) | |||||||||||||||||||||||||||||
| Klasyfikacja medyczna | |||||||||||||||||||||||||||||
| ATC | |||||||||||||||||||||||||||||
| Stosowanie w ciąży |
kategoria C | ||||||||||||||||||||||||||||
| |||||||||||||||||||||||||||||
| |||||||||||||||||||||||||||||
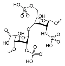
Heparyna (łac. Heparinum) – organiczny związek chemiczny, polisacharyd zbudowany głównie z N-siarczanu i O-siarczanu glikozoaminoglikanu[1] zbudowanego z reszt D-glukozaminy i kwasu L-iduronowego połączonych w nierozgałęziony łańcuch. Masa molowa cząsteczek heparyny mieści się w granicach 3000–30 000 g/mol[1]. W warunkach fizjologicznych heparyna jest polianionem.
Jest naturalnym czynnikiem zapobiegającym krzepnięciu krwi w naczyniach krwionośnych, działając hamująco na wszystkie jego etapy, głównie na fazę przejścia protrombiny w trombinę i jej działanie na fibrynogen. Heparyna aktywuje antytrombinę – osoczowy czynnik hamujący działanie trombiny. Obniża także poziom cholesterolu i lipidów, poprzez aktywację lipazy lipoproteinowej. W większych stężeniach może również hamować agregację trombocytów oraz ich adhezję (przyleganie do powierzchni) do ścian naczyń krwionośnych. Heparyna jest wyłapywana przez ściany naczynia i zwiększa ich ładunek ujemny, co utrudnia przyleganie trombocytów i zapobiega powstawaniu skrzepów przyściennych. Wytwarzana przez komórki tuczne, makrofagi i komórki śródbłonka naczyń, działa szybko, lecz krótkotrwale.
Heparyna jest stosowana jako lek przeciwzakrzepowy zapobiegając tworzeniu się skrzeplin, standardowo stosowany u chorych poddawanych zabiegom chirurgicznym i unieruchomionym z powodu choroby, w żylnej chorobie zakrzepowo-zatorowej, ostrych zespołach wieńcowych. Stosuje się preparaty heparyny niefrakcjonowanej (podawanej dożylnie lub podskórnie) oraz heparyny drobnocząsteczkowej (stosowanej podskórnie). Zaobserwowano, że u 1-3% chorych dochodzi do reakcji immunologicznej organizmu, polegającej na produkcji przeciwciał przeciw trombocytom. Skutkiem tego jest zmniejszenie liczby trombocytów w osoczu, co prowadzi do ich aktywacji i paradoksalnego powstawania skrzeplin.
Przeciwwskazania do stosowania heparyny
Bezwzględne
- skazy krwotoczne
- objawy krwawienia z przewodu pokarmowego, choroba przewodu pokarmowego obarczona dużym ryzykiem krwawienia
- objawowe nadciśnienie wrotne
- rozwarstwienie aorty
Względne
- udar krwotoczny, krwiak pourazowy śródczaszkowy w wywiadzie (do 2 miesięcy od zdarzenia)
- operacja, uraz głowy w wywiadzie, mniej niż trzy tygodnie wcześniej
- guz mózgu
- zabiegi operacyjne, biopsja narządu, nakłucie tętnicy, nakłucie lędźwiowe (do 24 h)
- źle kontrolowane nadciśnienie tętnicze (>200/110 mm Hg)
- małopłytkowość immunologiczna zależna od heparyny
- retinopatia cukrzycowa
- ciężka niewydolność wątroby
- ciężka niewydolność nerek
- ostre zapalenie osierdzia
Zobacz też
Bibliografia
- Andrzej Szczeklik: Choroby wewnętrzne : podręcznik multimedialny oparty na zasadach EBM. Kraków: Medycyna Praktyczna, 2006. ISBN 83-7430-069-8.
Przypisy
Przeczytaj ostrzeżenie dotyczące informacji medycznych i pokrewnych zamieszczonych w Wikipedii.
